Help
  • FAQ
    browse most common questions
  • Live Chat
    talk with our online service
  • Email
    contact your dedicated sales:
0

Op Amp Unity-Gain Bandwidth Calculation for MDACs

Author : AIVON | PCB Manufacturing & Supply Chain Specialists March 09, 2026

 

Settling and bandwidth requirements

During the settling process, an op amp's limited bandwidth prevents infinite settling speed, which results in settling error. Ensuring the op amp's closed-loop bandwidth is large enough is necessary for the MDAC settling accuracy to meet system requirements.

 

Closed-loop output expression

Assume the closed-loop time constant is τ and the MDAC feedback factor is β. The closed-loop output expression is:

Closed-loop output expression (formula 1)

 

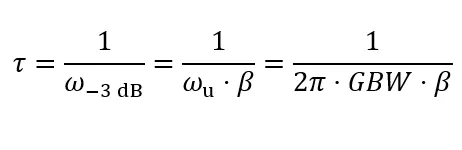
Time constant and GBW

For calculation and analysis, the amplifying half of the MDAC closed-loop circuit can be approximated as a single-pole system. In the linear settling case, the relationship between the time constant and the op amp GBW is:

Relationship between time constant and op amp GBW (formula 2)

In the above, ω-3dB denotes the closed-loop -3 dB bandwidth, and ωu denotes the op amp unit-gain bandwidth.

 

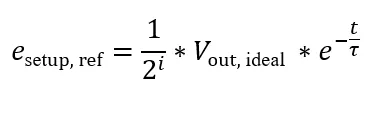
Settling error

The settling error is given by:

Settling error expression (formula 3)

 

Error referred to ADC input

Refer this error to the ADC input by dividing the error by the feedforward gain. For an ADC pipeline architecture, let the current stage be the i-th stage (i = 1..M). The error referred to the input is:

Error referred to ADC input (formula 4)

 

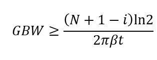
Requirement on maximum settling error

The maximum settling error should be less than half of the system resolution. Thus:

Constraint on maximum settling error (formula 5) Derived GBW requirement expression (formula 6)

Here t is the settling time allocated to the MDAC output. If FCLK denotes the clock frequency, the allocated settling time can be expressed as t = α / FCLK. Substituting that into the above yields the expression in (7).

If α = 1/2, the MDAC output must settle within half a clock period. Equation (7) shows that higher sampling frequency increases the op amp bandwidth requirement. For multi-bit MDAC stages, smaller β requires larger bandwidth. Larger bandwidth typically implies higher power, so high-speed ADCs and multi-bit pipeline stages tend to consume more power.

 

Example: 9-bit ADC

Using equation (7) to estimate requirements for a 9-bit ADC produces the results shown below:

Note: β is affected by sampling capacitance Cp and will be less than 1/2 in practice. α is also typically less than 1/2, so the actual GBW must be larger than the values in the table. Equation (7) also applies to op amp calculations in the sample-and-hold stage with β = 1 and i = 0.

 

Design considerations and experience

Calculations in circuit design are important, but experience also matters. Experience guides margin allocation, how much margin to leave, and tradeoffs when constraints require prioritizing critical functions. This practical judgment complements theoretical calculation and helps bridge the gap between theory and practice.

There are two basic reasons to value experience. First, the calculation models used are often simplified and deviate from the real world. Second, systemic issues may not be explained by a single principle. These points set practical boundaries for any design. Experience helps expand those boundaries by applying margin and strengthening design choices so the result is more robust and adaptable.

AIVON | PCB Manufacturing & Supply Chain Specialists AIVON | PCB Manufacturing & Supply Chain Specialists

The AIVON Engineering and Operations Team consists of experienced engineers and specialists in PCB manufacturing and supply chain management. They review content related to PCB ordering processes, cost control, lead time planning, and production workflows. Based on real project experience, the team provides practical insights to help customers optimize manufacturing decisions and navigate the full PCB production lifecycle efficiently.

Related Tags


2026 AIVON.COM All Rights Reserved
Intellectual Property Rights | Terms of Service | Privacy Policy | Refund Policy